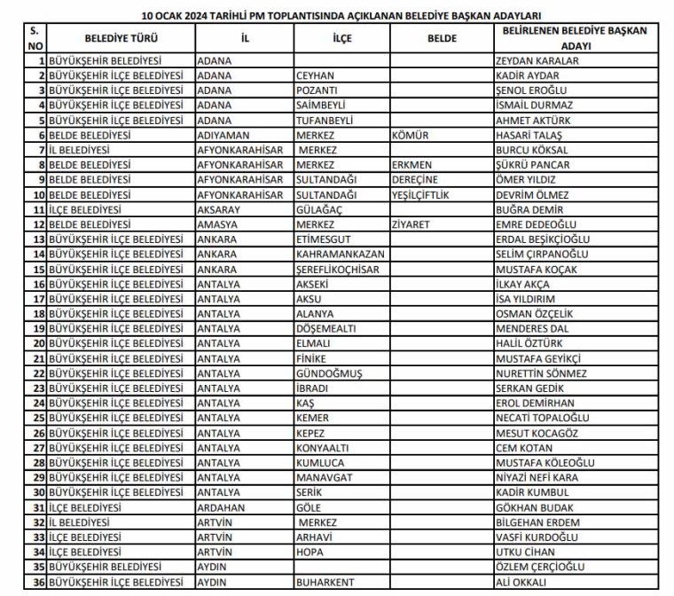
CHP Sözcüsü Deniz Yücel, Parti Meclisi toplantısında 240 seçim çevresinde belediye başkan adaylarının belirlendiğini açıkladı.
İşte o adaylar:
Adana Büyükşehir Belediyesi: Zeydan Karalar
Eskişehir Büyükşehir Belediyesi: Ayşe Ünlüce
Mersin Büyükşehir Belediyesi: Vahap Seçer
Tekirdağ Büyükşehir Belediyesi: Candan Yüceer
Aydın Büyükşehir Belediyesi: Özlem Çerçioğlu
Hatay Büyükşehir Belediyesi: Lütfü Savaş
Afyon Belediyesi: Burcu Köksal
Artvin Belediyesi: Bilgehan Erdem
Bilecek Belediyesi: Melek Mızrak Subaşı
Çankırı Belediyesi: İlhan Tekin
Giresun Belediyesi: Fuat Köse
Kırklareli Belediyesi: Mehmet Siyam Kesimoğlu
Kilis Belediyesi: Hakan Bilecan
Niğde Belediyesi: Hulusi Özen
Osmaniye Belediyesi: Serkan Karayiğit
Sinop Belediyesi: Mehmet Gürbüz
Tunceli Belediyesi: Ali Mustafa Çelik
Uşak Belediyesi: Özkan Yalım
Yalova Belediyesi: Mehmet Gürer
Yozgat Belediyesi: Özkan Şengül
Zonguldak Belediyesi: Tahsin Erdem
‘PM KARARIYLA BEŞİKÇİOĞLU…’
CHP Sözcüsü Deniz Yücel, toplantı sonrası gazetecilerin sorularını yanıtladı. Erdal Beşikçioğlu ile ilgili soruya Yücel şu yanıtı verdi;
“Erdal Beşikçioğlu adaylaşmıştır. Herhangi bir kriz söz konusu değildir. Bugün belirlenen 242 adayımız ve geçmişte PM’de belirlediğimiz adaylarımız MYK’nin ve PM’nin süzgecinden geçilerek, örgütlerimizden görüşler alınarak belirlenmiş ve PM kararıyla adaylaşmış arkadaşlarımızdır. Herhangi bir kriz söz konusu değil. Başka adaylar farklı iddialar ortaya koymuş olabilirler. PM kararıyla Erdal Beşikçioğlu, Etimesgut adaylığına uygun görülmüştür.”
YÜCEL’DEN ANTALYA AÇIKLAMASI
Yücel, “Antalya Büyükşehir Belediye Başkan adaylığı için Sayın Muhittin Böcek’in adı geçtiği öğrenildi. Böcek’in durumunun ileri bir tarihe ertelendiği söyleniyor. Neler söylersiniz?” sorusuna şu yanıtı verdi:
“Antalya Büyükşehir Belediye Başkan adayımız bir kısım merkez ilçelerle beraber değerlendirilecek olduğundan PM’de gündeme alınmadı, önümüzdeki hafta yapacağımız PM toplantısında gündeme geleceğini düşünüyorum. Bunun başka bir sebebi yok.”
İŞTE TAM LİSTE




















